Smooth brome requires annual fertilization for optimum production. Fall is an ideal time to plan for fertilizing cool-season improved pasture perennial grasses, such as smooth brome and tall fescue (Figure 1). Particular attention must be paid to nitrogen, phosphorus, potassium, and pH. More information on fall soil testing of hayfields and pastures was published in this recent eUpdate article: https://eupdate.agronomy.ksu.edu/article/fall-soil-testing-of-hayfields-and-pastures-666-1
Balanced fertility is essential. For example, adding nitrogen will not produce optimum yields if phosphorus is low. Soils low in phosphate limit plant and root growth. Fertilizer should be applied by broadcasting in the fall or before spring growth begins.


Figure 1. Fall growth of established smooth brome field prior to fertilizer application. Photos by John Holman, K-State Research and Extension.
Nitrogen Source. Nitrogen management is critical for optimum smooth brome production. Several nitrogen sources are available: liquid nitrogen solutions, urea, ammonium nitrate, and anhydrous ammonia. Anhydrous ammonia is not extensively used on permanent pastures because application is difficult. Nitrogen source research generally has shown little difference among sources under most conditions. When urea fertilizers, including liquid nitrogen, are applied to moist soils covered with grass residue, an enzyme called urease can break down the urea to ammonia, which is lost to the air. This can occur fairly rapidly when moist conditions are followed by warm temperatures, and rapid drying occurs without rain to move the urea into the soil. If urea is applied from November through February, volatilization loss should be minimal.
Application Timing. When brome is fall grazed , the yearly nitrogen application should be split. If adequate soil moisture is available for good growth in late August and early September, apply all phosphorus and potassium indicated by a soil test plus 30-40 pounds of nitrogen per acre. When applying any fertilizer application, grazing should resume following the fertilizer prills/ pellets have dissolved to reduce livestock concerns. Before the soil freezes in November or December, apply the remainder of the nitrogen recommended for haying or grazing. Split or late fall applications generally initiate earlier green-up in the spring.
If soil moisture is limited, apply all nitrogen, phosphorus, and potassium before the soil freezes in November or December. To minimize loss, do not apply fertilizer to frozen soil.
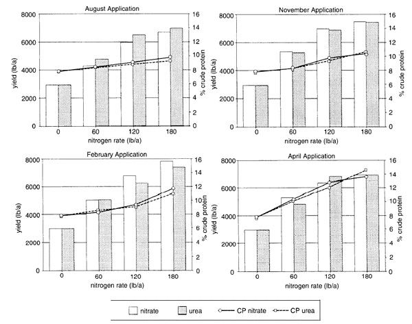
Spring applications should be made as soon as the soil thaws are acceptable for spring-only grazing. Timely application is often delayed because of wet soils. An application needs to be applied in the fall or early spring to allow sufficient time for fertilizer incorporation to benefit forage production (Figure 2).

Figure 2. Timing of N application on smooth brome yield. Source: KSRE publication C402 Smooth Brome Production and Utilization.
Fertilizer Rates (N, P, and K). Fertilizer rate recommendations for N, P, and K for established stands of smooth bromegrass are shown in Tables 1, 2, and 3, respectively. When brome is to be utilized for hay production, excessive N may cause lodging and reduce the amount of harvestable hay. Nutrient rates in all tables are based on soil test values and yield goals. In Table 1, the lower values in the rate range are for hay production. Nitrogen rate should be selected based on factors such as fertilizer cost, hay price, and/or grazing pressure.
Two tons of forage can be hard to visualize, but bales per acre are not. Though not an exact science, as bales vary in weight, a representation of 4 medium round bales or 50 square bales would equate to two tons of forage from the 80 lbs N per acre listed in Table 1.
Table 1. Nitrogen recommendations1 for smooth bromegrass and fescue.
|
Expected Yield |
Production |
New Seedling |
|
2 |
80 |
20 |
|
4 |
160 |
20 |
|
6 |
240 |
20 |
|
8 |
320 |
20 |
|
10 |
400 |
20 |
1Nitrogen rates required at various expected yields. The total N requirements
presented only include expected yield adjustments and the total N requirements
should be modified for other appropriate adjustments
Table 2a. Phosphorus recommendations for smooth bromegrass and fescue established stands.
|
|
Soil Test Level (ppm P) |
||||
|
Established Stands |
Very Low |
Low |
Medium |
High |
Very High |
|
Expected Yield (tons/acre) |
(0-8) |
(9-15) |
(16 - 20) |
(21 - 30) |
(31 or more) |
|
lb/a P2O5 |
|||||
|
2 |
45 |
25 |
15 |
0 |
0 |
|
3 |
50 |
25 |
15 |
0 |
0 |
|
4 |
55 |
30 |
15 |
0 |
0 |
|
5 |
60 |
30 |
15 |
0 |
0 |
|
6 |
65 |
35 |
15 |
0 |
0 |
Table 2b. Phosphorus recommendations for smooth bromegrass and fescue new stands.
|
|
Soil Test Level (ppm P) |
||||
|
New Stands |
Very Low |
Low |
Medium |
High |
Very High |
|
Expected Yield (tons/acre) |
(0-8) |
(9-15) |
(16 - 20) |
(21 - 30) |
(31 or more) |
|
lb/a P2O5 |
|||||
|
2 |
70 |
35 |
15 |
0 |
0 |
|
2.5 |
75 |
40 |
15 |
0 |
0 |
|
3 |
80 |
40 |
15 |
0 |
0 |
|
3.5 |
85 |
45 |
15 |
0 |
0 |
|
4 |
90 |
45 |
15 |
0 |
0 |
The P recommendations are for the total amount of broadcast and banded nutrients to be applied. If Mehlich-3 P is greater than 20 ppm, then the basic P recommendation is zero. If Mehlich-3 P is less than 20 ppm, then the minimum P recommendation is 15.
Table 3a. Potassium recommendations smooth bromegrass and fescue existing stands
|
|
Soil Test Level (ppm K) |
||||
|
Established stands |
Very Low |
Low |
Medium |
High |
Very High |
|
Expected Yield (tons/acre) |
(0-40) |
(40-80) |
(81-130) |
(131 - 160) |
(161+) |
|
lb/a K2O |
|||||
|
2 |
45 |
30 |
15 |
0 |
0 |
|
3 |
50 |
30 |
15 |
0 |
0 |
|
4 |
55 |
35 |
15 |
0 |
0 |
|
5 |
60 |
40 |
15 |
0 |
0 |
|
6 |
65 |
40 |
15 |
0 |
0 |
Table 3b. Potassium recommendations for new smooth bromegrass and fescue stands.
|
|
Soil Test Level (ppm K) |
||||
|
New Stands |
Very Low |
Low |
Medium |
High |
Very High |
|
Expected Yield (tons/acre) |
(0-40) |
(40-80) |
(81-130) |
(131 - 160) |
(161+) |
|
lb/a K2O |
|||||
|
2 |
100 |
65 |
25 |
0 |
0 |
|
2.5 |
110 |
70 |
25 |
0 |
0 |
|
3 |
115 |
75 |
25 |
0 |
0 |
|
3.5 |
120 |
75 |
25 |
0 |
0 |
|
4 |
130 |
80 |
30 |
0 |
0 |
The K recommendations are for the total amount of broadcast and banded nutrients to be applied. If extractable K is greater than 130 ppm, then basic K recommendations are 0. If the concentration is less than 130 ppm, then a minimum recommendation is 15 pounds.
Dorivar Ruiz Diaz, Soil Fertility Specialist
ruizdiaz@ksu.edu
John Holman, Cropping Systems Agronomist – Garden City
jholman@ksu.edu
Tina Sullivan, Northeast Area Agronomist
tsullivan@ksu.edu
Tags: pastures fall fertilizer tall fescue soil fertility smooth brome