In eastern Kansas, pasture is the most important source of feed for livestock. In systems with cool-season forages, this forage lacks during the summer. Because cool- and warm-season grasses have different photosynthetic mechanisms, one option to extend the grazing season is to have pastures with warm-season forage grass, such as crabgrass (Digitaria spp.), that produce most of the forage during hot months.
Crabgrass is a forage introduced to the United States in 1849. It is an annual species, but due to its high capacity to produce seeds, allowing reseeding, it is considered a perennial forage. Though considered a weed by many, crabgrass can be a beneficial cattle feed option due to its high yield potential, forage quality, and palatability. Crabgrass has a clump-type growth habit and, due to the presence of stolons (stems growing horizontally, which can produce roots), spreads aggressively.
Pasture Establishment
Crabgrass should be seeded in a clean, well-prepared area in spring when there is little chance of frost. Seeds should be drilled no deeper than ¼ inch as below ½ inch leads to poor stand establishment. The seeds can also be broadcast, but it is recommended to cultipack following seeding to improve seed-soil contact and reduce loss due to a heavy rainfall.
A good stand (dense and healthy) can be achieved by seeding 4 to 6 pounds of pure live seed per acre. With adequate moisture, seed germination begins when the soil temperature reaches 55°F. Pasture establishment can be sped up through nitrogen fertilization when the seeds have germinated and tillers are in the early stages as N improves tillering to reduce runoff and increase competitivity.
Weed Control
Controlling weeds is essential as weeds compete for water, nutrients, and sunlight. The best way to control weeds is to stimulate growth by maintaining adequate soil fertility levels, which will result in a rapid establishment and soil cover. The faster the pasture is established, the less chance weeds have to grow. If crabgrass is growing well, shading will limit weed emergence and development. In addition, adequate harvest management helps to control weeds by avoiding overharvesting. When the stubble heights are lower than 3 to 4 inches, the plant reserves may be compromised, reducing the capacity, velocity of regrowth, and stand thinning.
Herbicides can also be used to control weeds in association with harvesting management. Always consult the herbicide label for application restrictions and instructions, such as recommendations about rates, timing, and grazing restrictions. Only allow grazing after the grazing restriction period has ended. These recommendations can be found in the K-State publication Chemical Weed Control for Field Crops, Pastures, Rangeland, and Noncropland, available online at https://bookstore.ksre.ksu.edu/item/2026-chemical-weed-control-for-field-crops-pastures-rangeland-and-noncropland_SRP1194
Fertilization and Harvesting Management
Soil fertility directly affects forage production and quality. It is important to highlight that fertilization should be done based on soil test results. Thus, the first step is to take representative soil samples to support an adequate fertilization program. Contact your local extension agent for instructions about soil sampling and tests.
During the establishment, phosphorus is important as phosphorus stimulates root development, tillering, and accelerating the pasture establishment. In an established pasture, nitrogen is the most important nutrient as nitrogen increases forage yield and improves quality. Potassium enhances the nitrogen effect and needs to be taken into consideration in southeast Kansas, where potassium soil levels are commonly lower. Checking soil test levels help ensure the most effective nutrient applications.
Harvest management is another factor that drives both forage production and quality. When forage plants are harvested, it stimulates the production of new leaves that have higher photosynthetic potential and nutritive value. In a rotational stocking system, the pasture should be grazed when the canopy height is not more than 12 inches to maintain high forage quality. Ideally, the best condition to graze a crabgrass pasture is when the canopy reaches 6 to 8 inches in height. At the same time, keeping the stubble height not lower than 3 to 4 inches is essential. The same recommendation can be used to define hay harvesting.
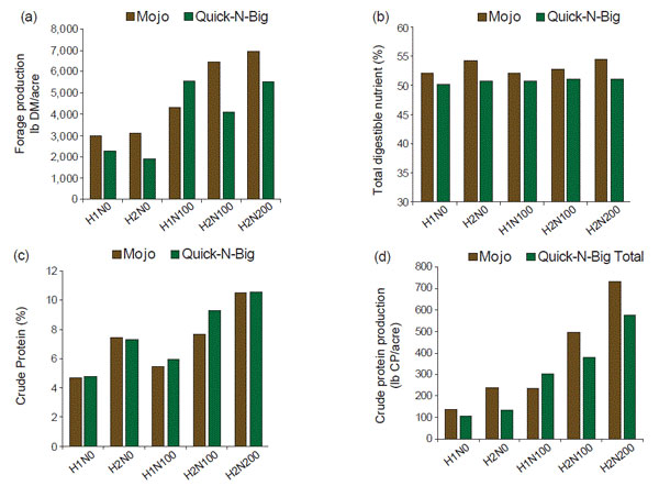
Combining fertilization and harvesting management may be an interesting option to improve forage yield and quality. A 2-year (2020 and 2021) study was conducted in Columbus, Kansas, to evaluate how five combinations between two harvest managements (harvested once or twice; H1 and H2, respectively) and three nitrogen rates (0, 100, and 200 lb/acre; N0, N100, and N200, respectively) affect the agronomic performance of two crabgrass varieties (‘Mojo’ and ‘Quick-N-Big’).
For Mojo, forage production was higher when two harvests were combined with nitrogen fertilization (100 or 200 pounds of nitrogen per acre). For the Quick-N-Big, nitrogen fertilization increased the forage production in both years regardless of the harvesting management (Figure 1a). The total digestible nutrients (TDN) varied little between treatments, with values ranging around 50% for Mojo and 51% for Quick-N-Big (Figure 1b).
In both varieties, crude protein increased when the pasture was harvested twice and was higher as more nitrogen was applied (Figure 1c). The positive effect of nitrogen fertilization and two harvests on the forage production and crude protein resulted in a higher crude protein production per acre, mainly when two harvests were combined with 200 pounds of nitrogen per acre (Figure 1d).

Figure 1. Effect of N fertilization and harvest management on forage production (a), total digestible nutrients (b), crude protein (c), and crude protein production (d) in 'Mojo' and 'Quick-N-Big'.
Harvesting management and nitrogen fertilization can be used to increase forage production and improve forage quality; however, fertilizer prices must be considered. Nitrogen losses from mineral fertilizers are always a concern in forage systems, and split-applying nitrogen is an alternative to increase nitrogen-use efficiency.
An online version of the full KSRE publication is available at https://www.bookstore.ksre.ksu.edu/pubs/MF3644.pdf, and copies can be ordered from the K-State Research and Extension Bookstore at https://bookstore.ksre.ksu.edu/
Tina Sullivan, Northeast Area Agronomist
tsullivan@ksu.edu
Jaymelynn Farney, Beef Systems Specialist – Parsons
jkj@ksu.edu